- 테일러 전개/급수의 이해
- 테일러 전개 예시
- e^x
- sinx
- f(x)
테일러 전개/급수의 이해
테일러 급수, 테일러 전개
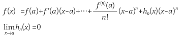
테일러 급수/테일러 전개는
어떤 함수 f(x)를, 근사 다항함수로 표현하는 것이다.

모든 x에 대해 같은 값이 아닌,
x가 a에 가까울 수록 근접하고, x=a 일때만 좌변 우변의 값이 같다.
즉 x값이 a에서 멀수록, f(x)=p(x)라는 명제가 점점 큰 오차를 갖게 된다.
pn(x)라는 근사다항식의 차수 n이 높을수록
p(x)는 f(x)에 좀더 잘 근사하게 된다.
차수인 n을 높이냐
a에 가까운 값을 갖느냐로 근사치를 갖게 된다.
ㄴ 근사치를 넓히려면 높은 차수까지 함수를 분해하거나, 함수마다 다를 것
a를 0이라 가정하면
식이 아래와 같이 조금 간단하게 보이게 된다.


테일러 정리는 어떤 함수 f(x)가 유한차수 (n차)의 다항함수로 근사될 수 있다는 수학적 근거를 제공하고
h(x)(x-a)^n은 근사오차를 나타낸다.
어렵고 복잡한 함수를 다루기 쉬운 다항함수로 대체하기 위해 테일러 급수를 사용합니다.
테일러 급수로 표현하면, 그 함수의 특성을 분석하기가 좀 더 용이해지기도 합니다.
테일러 전개 예시
전개하는 방법
- 함수를 무한개의 항을 가진 다항식으로 나타냅니다 (테일러 전개를 사용하기 위해 가정)
- x = 0 을 대입해 a0 값을 찾는다
- 좌우변을 한번씩 미분 후, x = 0 을 대입해 a1 값을 찾는다
- 좌우변을 한번씩 더 미분 후, 같은 작업으로 a2 값을 찾는다
- 패턴을 찾아 일반화 한다
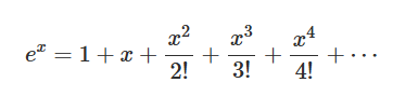
f(x) = e^x 를 사용한 테일러 전개
f(x) = e^x 를 가지고 테일러 전개를 사용해보겠습니다.
e^x 는 미분해도 e^x 이기에 무한정 미분 가능한 케이스 입니다.
무한번 미분이 가능할수록, 근사를 넘어 실제 값과 동일해지게 됩니다.
1. 함수를 무한개의 항을 가진 다항식으로 나타냅니다 (테일러 전개를 사용하기 위해 가정)

2. x = 0 을 대입해 a0 값을 찾는다
위의 식의 x에 0을 대입하면,
1 = a0 로 정리됩니다 (e^0 = 1)
3-1. 좌우변을 한번씩 미분 후, x = 0 을 대입해 a1 값을 찾는다

a1 = 1 임을 확인
3-2. 두번 미분 후 a2 찾기

a2 = 1/2 임을 확인
3-3. 세번 미분 후 a3 찾기

a3 = 1/6 임을 확인
3-4. 네번 미분 후 a4 찾기

a4 = 1/24 임을 확인
4. 패턴 찾아 일반화
a0 부터 값을 정리하면
1 -- 1 -- 1/2 -- 1/6 -- 1/24 -- 1/120
an 의 값은
1/n! 임을 확인할 수 있습니다.
- 대체로 좌변에서의 변화가 크지 않다면,
- 우항은 x^n 승을 계속 미분함으로써,
- 1 x 2 x 3 x 4 x 5 같은 형태의 상수를 앞으로 갖게 됩니다.
- 그렇기에 기본 가정이 위처럼 기본적인 다항식으로 가져가는 테일러 전개에서는
- 팩토리얼값에 어떤 좌변의 값이 곱해지고 관여하냐를 보면 됩니다.
즉, 다시 다항식으로 가정한 e^x에
a(n) 값들을 모두 넣으면

이와 같이 나타낼 수 있습니다.
패턴을 찾는 재미가 있는게 테일러 전개입니다 :D
실제로 위 식의 좌변과 우변의 x에 특정 값들을 넣어보면
동일한 값이 나옴을 확인할 수 있습니다.
f(x)=sinx 를 사용한 테일러 전개
예시 2번째,
무한 미분할 수 있는 또다른 예시로, 삼각함수를 들 수 있습니다.
f(x) = sinx 도 테일러 전개를 해보겠습니다.
sinx는 미분하면 sin과 cos을 오가며, - 분모가 붙고 떨어지죠
1. 다항식 가정

2. x = 0, a0 =?
a0 = 0 (sin0 = 0)
3-1. 미분, a1 =?

a1 = 1 (cos0 = 1)
3-2. 미분, a2 =?

a2 = 0 (-sinx = 0)
3-3. 미분, a3 =?

a3 = - 1/6
즉, 위의 e^x 와 an 값이 붙는 패턴이 달라지는데
그 달라지는 점은 좌변의 sinx 의 미분 및 x=0 값을 넣었을 때 어떤 값을 갖냐에 따라 달라집니다.
좌변에 x = 0 을 넣으면
0 - 1 - 0 - -1 - 0 - 1 - 0 - -1 - ...
이라는 반복을 갖는데
기존 (기본이 되는) e^x 의 an 값을 넣어보면
1 - 1 - 1/2 - 1/6 - 1/24 - 1/120 - ...
즉
기본적인 a(n), 1/n! 의 값에
좌변의 패턴을 곱해주면 됩니다.

미분 횟수를 기준으로 짝수 항은 sinx 값이기에 a(2n) 들은 0으로 없어지고
a(2n-1) 항들만이 위처럼 + , - 반복하며 팩토리얼 분모를 갖게 됩니다.
일반함수 f(x)를 사용한 테일러 전개
일반 함수를 가지고 테일러 전개를 해보겠습니다.
f(x) 사용
1. 다함수 가정

2. x = 0, a0 =?
a0 = f(0)
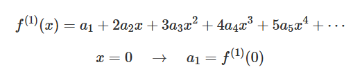
3. 미분, a1 =?

좌변의 값에 집중하면
좌변은 f(x)를 한번 미분한 f(1)(x) 값임을 확인할 수 있습니다.
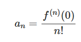
즉, 일반 함수의 a(n)은
기존의 a(n)인 1/n! 에
f(n)(0) 을 곱해주면 되는 패턴을 갖습니다.


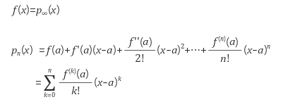
그렇게 f(x)가 정리된 값이 위의 식을 갖고
이는 x=0 일때를 가정을 두고 찾은 값입니다.
이 가정을
x=a라는 또다른 미지수로 대체한다면

이런 일반화된 테일러 전개,, 수식을 얻을 수 있게 되는 것입니다.
마치며
테일러 급수/테일러 전개는
어떤 함수 f(x)를, 근사 다항함수로 표현하는 것이다.
차수인 n을 높이냐
a에 가까운 값을 갖느냐로 근사치를 갖게 된다.
ㄴ 근사치를 넓히려면 높은 차수까지 함수를 분해하거나, 함수마다 다를 것
어렵고 복잡한 함수를 다루기 쉬운 다항함수로 대체하기 위해 테일러 급수를 사용합니다.
테일러 급수로 표현하면, 그 함수의 특성을 분석하기가 좀 더 용이해지기도 합니다.
전개하는 방법
- 함수를 무한개의 항을 가진 다항식으로 나타냅니다 (테일러 전개를 사용하기 위해 가정)
- x = 0 을 대입해 a0 값을 찾는다
- 좌우변을 한번씩 미분 후, x = 0 을 대입해 a1 값을 찾는다
- 좌우변을 한번씩 더 미분 후, 같은 작업으로 a2 값을 찾는다
- 패턴을 찾아 일반화 한다
- 대체로 좌변에서의 변화가 크지 않다면,
- 우항은 x^n 승을 계속 미분함으로써,
- 1 x 2 x 3 x 4 x 5 같은 형태의 상수를 앞으로 갖게 됩니다.
- 그렇기에 기본 가정이 위처럼 기본적인 다항식으로 가져가는 테일러 전개에서는
- 팩토리얼값에 어떤 좌변의 값이 곱해지고 관여하냐를 보면 됩니다.
댓글