열전달의 필요 이유
열전달은 열의 시간/공간에 대한 흐름을 배우는 과목이다.
우리는 이 과목을 전공 필수과목으로 배우고 있다.
그럼 열전달을 왜 알아야만 할까?
우리는 자연의 무언가로부터 에너지를 만들어 낸다.
석유/석탄에너지 전기에너지 등,
이런 에너지들은 기기를 움직이고, 제품을 사용하는데 사용된다.
그리고 우리는 이 에너지의 효율성을 극대화하는데 노력한다.
왜냐, 에너지를 씀에 있어 낭비, 즉 버리는 에너지는 생기기 마련이다.
이 중 많은 에너지가 열로써 사용하지 못하는 에너지가 된다.
그리고 결국 모든 에너지는 열 에너지로써 흩어진다.
우리가 사용 못 할 에너지로, 자연으로 흩어진다.
ex) 빛도 일정하게 날아오다, 끝에서 열로써 흩어지거나,
우리 피부에 닿아(부딪혀) 피부 온도를 미세하게 올리기도 한다.
또, 열전달, 열전도를 알아야
전자기기의 디자인/생성에 용이하다.
노트북, 스마트폰 등의 전자기기들은 많이 사용하면 그만큼 가열된다.
Body가 뜨거워지고, 뜨거워진 만큼 열에너지로써 에너지는 방출된다.
그외에 Body에서 전도/대류되지 못하여 잔존하는 열로 인해
기기의 능력이 떨어지고, 버벅이게 된다.
이를 방지하는 시스템디자인을 하는데에도
열전달의 지식이 사용된다.
반응속도와 최대 Temperature를 어떻게 맞춰줄지 시스템적으로 디자인하는 것이 최종적으로 기대되는 역량이라 한다 :)
시스템이 어떻게 움직이는지, 문제는? 개선은?
열
열 = Random Kinetic Energy
즉, 랜덤하게 움직이는 운동에너지이다.
어떤 물체를 던진다면.
(물체는 수많은 원자들이 결합해서 만들어진 것이다.)
던진다는건, 이 수많은 원자들이 같은 속도로 움직이는 것이다.
원자를 보았을 때, 원자들이 모두 같은 방향으로 움직이면 진동이 되고,
랜덤하게 움직여 지속적인 충돌이 발생하면, 그것이 열 에너지의 근원이다.
어떤 물체를 F의 힘으로 때렸다.
소리와 물체의 움직임 등으로 물체 밖으로 힘에너지를 전달하지만,
물체 내에 남는 진동은 무수한 진동, 즉 열 에너지로 남는다.
스프링을 원자간 결합이라 하자.
원자를, 작은 무게를 갖는 공이라 보면,
Potential 한계 진동치 만큼 움직이며 진동이 가능하다.
고체는 confine하게 진동할 수 밖에 없다.
일반화학에서 봤을 그래프.
원자의 결합에서 그들이 가장 안정적으로 있고 싶어하는 위치인 O,
압축하거나 때어내는데 들어가는 에너지를 나타낸 그래프.
h = Potential 에너지.
r = 결합 거리
r1 = 가장 안정적이라 생각되는 결합거리
h가 높다면, 강한 스프링을 의미한다.
ex) C + O2 => O지점에 가서 강하게 구성/결합.
에너지가 O지점에서 어느정도 흔들리며 유지된다.
앞서 열을 Random K.E라고 했다.
그 말은, Random K.E는 열이 없어지지 않는한 지속되고,
열은 없어질 수 없다. (절대 0도가 아닌한 어찌되었든 존재한다. 그리고 절대0도는 매우 Ideal한 케이스이다.)
물체를 가만히 두든, 던지든.
분자내의 torsion(뒤틀림) = 계속 흔들리다가 주변 분자 때리고,
맞은 분자는 에너지 얻고 속도 얻어서, 돌아다니며 다른 분자 또 때린다.
이런식의 부딪힘은 절대 0도가 되어 모든 분자의 움직임이 멈추지 않는한 계속된다.
T ~ P,
온도와 압력은 비례한다고 고등학교 화학시간에 배웠을 것이다.
압력의 증가로 부피가 작아지고,
주변에서 가해지는 힘이 쌔지면,
내부의 분자는 빨리 움직이고, 더 부딪힌다.
그러며 열발생, 온도가 올라가게 된다.
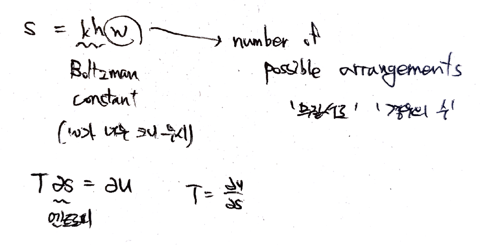
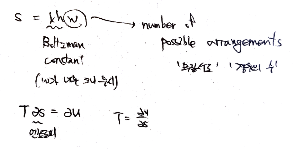
자유도, 엔트로피, 열역학 2법칙
온도가 높은 하나 보다 온도가 낮은 여럿이 무질서 하다.
즉, 파티클들이 위치할 케이스가 많고, 돌아다닐 곳이 많다.
온도가 높은 하나는 그 공간만큼의 케이스,
온도가 낮은 여럿은,, 이들이 섞여 존재하는 모든 케이스
(확률과 통계를 알면 케이스가 훨씬 많다는 걸 알 것이다!)
즉, 자유도는 원자/분자의 움직임의 자유로움을 나타낸 것이다.
원자/분자의 움직임이 자유롭다면
공간이 넓어, 위치해 있을 Case가 매우 다양한 것이고,
그럼 서로 잘 부딪히지 않을 테고,
비교적 온도가 덜 오른다.
하지만! 물체가 가지고 있는 에너지는 같다.
다만, 공간의 증가로 자유도가 늘어났고, Temperature가 줄어든 것 뿐이다. (에너지 = 자유도 + 온도)
(이런 이유로 다른 요소들이 고정되어 있을때, 부피가 커지면 온도가 낮아지는 것이다.)
즉, 열에너지, 내부에너지는 자유도나 온도를 높이는데 쓰이는 것이다.
자유도를 높이는데 모든 에너지를 쓰면,
온도는 올라가지 않는다.
우리는 이러한 현상을 상변화에서 볼 수 있다.
열 에너지가 결합을 끊고, 공간을 늘리는데 쓰이기에, 자유도를 늘리는데 쓰이기에 온도의 증가는 미미하다.
다시 말하면,
열 에너지를 온도가 아닌 자유도로 변환캐 한다면
기기의 열 손실을 줄이고, 온도가 올라감으로써 생기는 부작용, 오작동을 피할 수 있다.
그리고, 출력 좋은 엔진은 급격하게 엔트로피(자유도)를 높히는 구간이 있다. 그러면서 reusible!
급격하게 엔트로피가 높아진다는건, 그만큼 큰 에너지가 순식간에 확산 되는 것. 비교적 낮은 온도에서 큰 에너지를 사용할 수 있다는 것.
하지만, 높은 에너지에서 점화하면 좋지만, 너무 랜덤하게 움직이려하기에 컨트롤이 어렵다.
무언갈 결합 한계 이상의 힘으로 던져
= 일정한 속도(매우 질서, 자유도 매우 낮아)로 날아가다가 깨져(매우 무질서)
= 열 에너지로 순식간에 확산
= 소리, 빛, 터지며 불타기도, 등등.
온도 = 열에너지에서의 potential
열에너지에서의 온도는 Potential.
온도가 높은 곳에서 낮은 곳으로 에너지가 흐르는 것이, 마치 전류/전압처럼.
포텐셜 전압 높은 곳에서 낮은 곳으로 전류가 흐르듯이.
열에너지를 가함으로써, 단계를 올라가고 싶은데,
그것이 Temperature, 그런데 그 에너지가 자유도를 올리는데 쓰임으로써 실패.
엔트로피
자연의 fundamental 한 특징
= 자유롭고 싶다. 경우가 많은 곳에 위치하고자 한다.
온도 = 자유도가 높으면 온도가 낮다.
일정한 에너지에 자유도가 낮다 = 매우 질서정연 = 온도가 높다.
온도 / 열의 이동으로, 어떤 시스템과 닿아도 무질서도(자유도) 증가! 온도 감소
뜨겁다: 열의 이동할 계기를 준다.
뜨겁다는 것은, 온도가 높다는 것과 다를 수 있다.
다만 에너지가 크다는 말이고, 내부 원자의 속도가 높다는 말이다.
(이 말이 온도가 높다는 말이 아니냐 생각되지만,, 자유도의 개념이 있으니!)
Combusition / Pressure / Friction / Collision(충돌: 스프링 압축 => 풀어지며 확 진동)
온도: 에너지 가질 때, 그들의 자유도와 반비례
'기계공학 > 열전달' 카테고리의 다른 글
| [열전달] 대류(convection), 어떻게 하면 열 효율을 좋게 할지 (0) | 2020.04.15 |
|---|---|
| [열전달] 저항개념, 접촉저항(Interfacial Resistance) (0) | 2020.02.06 |
| [열전달] 전도성(Conductivity), 수용력(Capacity), 열확산성(Diffusivity) (1) | 2020.02.05 |
| [열전달] 전도(Conduction) (0) | 2020.02.04 |
| [열전달] 열전달 종류(전도/대류/복사) (0) | 2020.01.15 |







댓글