- 유전율(permittivity)이란
- 유전분극(polarization)
- 전도전류, 변위전류와 유전율
유전율(permittivity)이란
유전율이란
- 전하 사이에 전기장이 작용할 때, 그 전하 사이의 매질이 전기장에 미치는 영향
- 매질이 저장할 수 있는 전하량
- 같은 양의 물질이라도 유전율이 더 높으면 많은 전하를 저장할 수 있기 때문에, 유전율이 높을수록 전기장의 세기가 감소된다. 그래서 높은 유전율을 가진 물질을 축전기에 넣는 유전체로 사용하면, 축전기의 전기 용량이 커진다. + 유전율이 높은 물질을 차폐기능에 사용한다면 좋은 성능을 보인다.

유전분극(polarization)
Polarization(유전분극):
전기장(E)이 물체의 원자 주변의 전자(전자구름)을 자극하면 발생. 전기장의 반대 방향으로 발생.
결과적으로 유전체 내로 들어온 전기장 세기(D)가 작아진다(유전분극의 영향으로). 이때 작아진 비율이 유전율이다.
전기변위장(electric displacement field, D) = 물질에 가해진 전기장(E)이 물질의 구성에 얼마나 영향을 미치는지

전기변위장(D)은 전기장을 만드는 전하량의 양.
일정한 전하량이 있을 경우, 유전율이 높을수록 전기장은 작아져. = 유전체 내에 유전분극이 증가한다.
전기장이 작아진다 함은, 유전율이 큰 물질의 유전분극이 강해서 그만큼 소거된다는 느낌, 아래에서의 변위전류


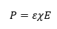
유전분극(P )는 전기감수율 카이(χ )와 유전율(ε) , 전기장(E) 의 곱. 전파가 물체를 통과할 때 전기감수율이 크고 유전율이 높은 물질이라면 유전분극이 큰 상태/물질이다. 전기감수율과 유전율이 큰 물질은 전기장을 작아지게 한다.
유전분극이 크다 = 유전율이 높은 물질 = 전기감수율이 크기에 전기장이 작아지고 = EMI shielding 이 잘 될 것이다.
- Ex) 정전기적 평형상태에서 도체 내부에는 전기장이 0이 된다. 도체 내부에 전기장이 0이 아니라면 이전기장에 의해서 도체 내부의 자유전자가 전류를 만든다. 전류가 흐르게 되면 전하의 분포가 달라지게 되고 그 분포는 도체 내부의 전기장을 0으로 만들도록 바뀐다. 도체 내부에서 어떠한 가우스면을 잡아도 전기장이 0이므로 총 플러스 0이 되고 이는 도체 내부에는 항상 알짜 전하가 0임을 알 수 있다. 즉 도체 외부에서 전기장이 바뀌더라도 도체 표면의 전하분포가 바뀔 뿐 내부의 전하분포에는 변화가 없다.
- Ex) (수은, 4.2K 전기저항0): 전기저항이 0인 물질에 자기장을 걸어주면 차폐 전류가 유도된다. 이 차폐 전류는 물질 표면에 흐른다. 걸어준 자기장과 크기는 같지만 반대방향의 유도 자기장을 만든다. 결국 물질 내부에는 본래 갖고 있던 자기장 외에 걸어준 자기장이 침투하지 못하게 된다.
전도전류, 변위전류와 유전율
전도전류, 변위전류와 유전율
매질에 전기장이 가해지게 되면 전류가 흐른다. 실제 매질을 통해 흐르는 전체 전류는 전도전류와 변위전류로 구성된다.
전도전류 (하전입자가 직접 전하를 전달하여 생기는 전류), 변위전류 (물질이 전기장에 용수철처럼 탄성 반응을 하는 것_반발)
물질에 가하는 전기장을 세게 하면 물질에 저장된 변위전류는 증가하고, 전기장을 약하게 하면 물질에 저장된 변위전류가 줄어든다. (전자기 유도 느낌이네)
전기적 변위는 진공에 의한 항과 물질에 의한 항으로 나뉜다.

유전율 = 외부로부터 들어오는 전기장에 의해 반발로 일어나는 전기변위장(변위전류)의 비율
마치며
전자 극성의 정도가 클수록 유전율이 커진다.
유전체나 단열제의 유전율을 보통 언급한다.
<ElectroMagnetic Interface Shielding 관련 포스팅>
2022.02.05 - [정리, 공부/제품 원리] - 전자기파 차폐 (EMI shielding) 원리, 특징, 반사&흡수, 구조
'서브 공부 > 전기, 전자, 통신' 카테고리의 다른 글
| 유전체(Dielectric), 유전상수(Dielectric constant), 유전손실(Dielectric loss value) (0) | 2022.02.08 |
|---|---|
| 유전체의 전자기파 흡수과정 (저주파수, EMI S, 마이크로파, 전자레인지) (0) | 2022.02.08 |
| 선 굵기별 버틸 수 있는 전류량 (전력량) (0) | 2021.02.24 |
| PWM (Pulse Width Modulated) square wave, PWM파 with 아두이노 (0) | 2020.09.24 |
| PID 제어 (Proportional Integral Derivative control) 원리/정리/튜닝 (1) | 2020.09.20 |
댓글