- 시스템의 차압 ~ 수두손실 계산 비교
- 시스템에서의 차압
- 수두손실 계산
시스템의 차압 ~ 수두손실 계산 비교
얼마나 정확할지는 모르겠으나,
지금까지 정리한 내용을 토대로 현 시스템의 차압 측정값과 계산값을 비교해볼까 합니다.
시스템에서의 차압
시스템의 차압을 확인하고자 물 사용 & 간단한 테스트를 위해 폴리머/Flexible 튜브 (PU 튜브/실리콘 튜브)를 사용했습니다.
관 내경이 4.5 mm 정도 되는데,
내경이 좁아서일까? 확실히 유체가 흐르는 길이가 늘어남에 수두손실이,, 큽니다.
본래는 Cold-block이나 Radiator에서 차압이 클 것이라 생각했는데, 아니었네요 :p


Cold-block의 Fin 구조와 유로가 넓어지고 좁아지는 과정에서 수두손실이 많을 것이라 예상했지만,
2.84 LPM에 14.1 kPa

Radiator로 좁은 유로에 Fin이 많이 달린 구조 + 그 좁은 길을 몇십 cm를 올라야 하니 수두손실이 가장 크지 않을까 예상했지만,
2.84 LPM에 13.5 kPa

대략 70 cm를 이동 + 'T' 2개 통과 + 'T' 1개 꺽어 통과 + 90도/반지름 으로 굽어지는 유로
2.84 LPM에 34.8 kPa
수두손실 계산
Cold-block이나 Radiator의 수두손실을 자세히 계산해볼 순 없고,
3번째, Cold-block이나 Radiator 부분이 아닌 시스템이 긴 곳의 수두손실이 가장 크게 걸렸는데, 이부분을 계산값과 비교해볼까 합니다.
생각보다 좁은 유로라 그런가, 길이가 길어지니 수두손실이 엄청나군요..
2021.07.08 - [정리, 공부/기계공학 & 시스템설계] - 손실양정, 관마찰 손실헤드 ~ (길이)(마찰계수)(유속)/(직경)
손실양정, 관마찰 손실헤드 ~ (길이)(마찰계수)(유속)/(직경)
손실양정 펌프 배관과 유체의 마찰, 와류, 배관모양, 포화증기압 등으로 인해 나타나는 에너지적 손실 마찰손실 & 포화증기압 & 유속양정 등의 손실을 일컫는다. 베르누이 방정식은 유체역학에
setoo0922.tistory.com
2021.07.10 - [정리, 공부/기계공학 & 시스템설계] - 관마찰계수, Moody 선도 ~ 조도, 밀도, 점성 (수두손실에 이어서)
관마찰계수, Moody 선도 ~ 조도, 밀도, 점성 (수두손실에 이어서)
차례 - 수두손실과 관마찰계수 - 관마찰계수 - 상대조도 - Sus tube 종류 수두손실과 관마찰계수 손실은 관이 길수록 커지고(흐를수록 손실이 생기므로), 지름이 클 수록 작아진다(관이 넓으면 더
setoo0922.tistory.com
2021.07.12 - [정리, 공부/기계공학 & 시스템설계] - 곡관, 관형에 따른 수두손실 + 엘보/T관/밸브 사용 시 수두손실
곡관, 관형에 따른 수두손실 + 엘보/T관/밸브 사용 시 수두손실
차례 - 곡관, 관형에 따른 수두손실 - 곡관의 수두손실 - 관형에 따른 수두손실 - 특정 파츠 사용 시에 국부저항 곡관, 관형에 따른 수두손실 곡관, 관형에 따른 수두손실을 부차적 손실로,, 치부
setoo0922.tistory.com
자세한 계산식 & 곡관/관형에 따라 관마찰계수 등에 들어갈 수를 정리한 표는 위의 포스팅을 참고하시길 바랍니다 :)
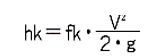
1. R/D=10인 90도의 곡관 하나

V = 2.86 LPM = 2.976 m/s


유속, 물의밀도, 곡관의 손실계수를 아니 P를 구할 수 있다.
--> 곡관 1개에 의한 압력손실 ~ 487.11 Pa
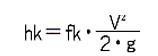
2. 0.7m의 길이 + 'T' 2개 통과 + 'T' 1개 꺾어 통과


유속, 직경, 물의 밀도를 알고,
f (마찰계수)와 L (0.7m + 3개의 T관에 해당되는 길이값)을 알아야 한다.
f, 마찰계수의 경우,

Moody 선도에서 관의 조도(Roughness), Re수를 통해 알 수 있다. (Re ~ 1.5 x 10^4)
관의 조도를 모르기에, 선이 가장 많이 겹쳐있는,, 0.02로 계산했다.
T관의 L의 경우,

내 시스템에 해당되는 직경에 대한 값을 찾지 못했다.
그래서 대강,, T지관 0.3 T주관 0.06으로 계산해서 곡관의 압력손실과 합하면,,

48 kPa 정도가 나왔다 하핳.. <-> 시스템에서는 35 kPa로 측정되었는데 ㅠ
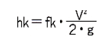
1m 길이 + T주관1, 1.2LPM에서 계산했을 시, 8.6 kPa이 나오는데
시스템에서 측정을 해보면 6.5 kPa이 나오네요

아마 곡관의 형태에 따른 계산값 & f 값의 계산에서 얼추 넣은 값이 문제가 되지 않았나 합니다 :(
마치며
이번에 수정중인 셋업은,, 유로가 참 긴데
최대 유속이 어디까지 떨어질까 걱정입니다 :p

'메인 공부 > 발열, 냉각, 펌프' 카테고리의 다른 글
| 바이알 냉각시스템(-40도) - 진공, 칠러, 워터블럭, 팰티어, 아두이노 (0) | 2022.01.30 |
|---|---|
| CPU쿨링팬을 사용한 바이알 쿨링 시스템 (0~5도) + 진공, 진공펌프 + arduino (0) | 2022.01.26 |
| 곡관, 관형에 따른 수두손실 + 엘보/T관/밸브 사용 시 수두손실 (1) | 2021.07.12 |
| 관마찰계수, Moody 선도 ~ 조도, 밀도, 점성 (수두손실에 이어서) (3) | 2021.07.10 |
| 손실양정, 관마찰 손실헤드 ~ (길이)(마찰계수)(유속)/(직경) (1) | 2021.07.08 |
댓글