손실양정
펌프 배관과 유체의 마찰, 와류, 배관모양, 포화증기압 등으로 인해 나타나는 에너지적 손실
마찰손실 & 포화증기압 & 유속양정 등의 손실을 일컫는다.

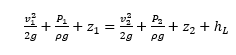
베르누이 방정식은 유체역학에서 에너지 보존을 나타내는 식인데, 유체가 흐르는 동안 발생하는 에너지 손실은 고려하지 않는다.


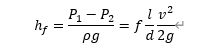
관마찰 손실헤드, hf

차압을 구할 때 마노미터 같은 것이다.
1번 지점에서의 유체가 갖는 에너지가 2번지점까지 가는동안 줄어듭니다.
그 줄어든 정도를 가지고 마찰, 손실양정을 구합니다.

달시-바이스바흐(Darcy-Weisbach)의 식으로,
- 배관이 길수록 ~ l
- 표면이 거칠수록 ~ f
- 직경이 작을수록 ~ d
- 유속이 빠를수록(유체의 운동에너지가 클수록) ~ v
- 배관이 구불구불할수록
f: 관마찰계수, Daracy friction factor (무차원수)
= 관 벽의 재질이나 유체의 Re 수 등에 따라 달라집니다.
= 층류 흐름의 마찰계수는 단순히 64/Re로, 원관의 상대조도 (Roughness)와는 관계없습니다.
마찰손실은 위의 이유로 에너지 소모가 커지기에 손실이 커집니다.
다만, 긴 관로에서는 관의 마찰손실에 비해 부차적인(구불구불하거나, 넓어지고 좁아지거나 하는 등의 배관 특징) 손실은 비교적 적기 때문에 무시하기도 합니다. 큰 오차는 없으나, 관로가 비교적 짧을 경우에는 부차적 손실이 차지하는 비중이 커서 무시할 수 없게 됩니다.
마치며
손실은 관이 길수록 커지고(흐를수록 손실이 생기므로), 지름이 클 수록 작아진다(관이 넓으면 더 잘 흐를 수 있으므로). 그리고 유속의 제곱에 비례한다. 일반적으로 조도(관 표면의 거칠기)가 클 수록 저항이 커지고, 밀도와 점성에 영향을 받습니다.
이후로 조도 & 파이프에 대한 정리와
부차적 손실이라 언급한 곡관/관로의 형태에 따른 손실을 정리해보려 합니다.
'메인 공부 > 발열, 냉각, 펌프' 카테고리의 다른 글
| 곡관, 관형에 따른 수두손실 + 엘보/T관/밸브 사용 시 수두손실 (1) | 2021.07.12 |
|---|---|
| 관마찰계수, Moody 선도 ~ 조도, 밀도, 점성 (수두손실에 이어서) (3) | 2021.07.10 |
| 펌프의 양정에 대해 (흡입양정, 토출양정, 실양정, 전양정, 손실양정) (0) | 2021.07.06 |
| 튜브 속 유체 온도 측정 (열전대의 튜브/파이프 삽입) (0) | 2021.06.28 |
| 구리 워터블럭 제작 ~ 누수/leaking 해결 (0) | 2021.06.24 |
댓글